Abstract
The current classification system for Myelodysplastic Syndromes lumps all therapy-related (tMDS) into one subgroup assuming all tMDS had the same poor prognosis. We have put together a database including 2032 patients with a diagnosis of tMDS from several different IWG centers and the MDS clinical research consortium.
With the idea of developing an individual scoring system for tMDS, we decided to start by optimizing the cytogenetic part of the IPSSR. First, we did an extensive review of karyotypes. Finally, 1245 patients had complete data and correct ISCN formula to be used for score development. We could show regarding karyotypes there are very limited differences between primary and tMDS. Mainly the distribution of risk groups differs with complex occurring more (37%) and normal karyotypes occurring less frequent, although still accounting for 30%. There are few exceptions that are relatively special for tMDS, like translocations including 11q23. A few karyotypes are less frequent; therefore, we could not evaluate the value of IPSS-R cytogenetics for all karyotypes.
However, if we apply IPSS-R cytogenetics to our patient cohort, we can separate 5 different risk groups as in pMDS. We tested the performance of the score by using the Dxy. As main endpoint we chose transformation-free survival giving better information about the severity of the disease compared to the single endpoints survival and AML transformation that where calculated for completeness as well. The Dxy for the IPSS-R cytogenetic part is 0.31 for transformation-free survival. This indicates an effective prognostic performance although not as good as in pMDS. Several attempts were done to develop a tMDS specific cytogenetic score. The best draft scoring component achieves a Dxy of 0.33. Counting the number of aberrations achieves a score of 0.30. If normal clone present or not is added, the performance of this very simple model is improved with a Dxy of 0.32.
As we could show, all these different approaches lead to a comparable performance. One can argue that still regarding a few karyotypes the prognostic impact is slightly different between p and tMDS (e.g. +8). On the other hand, the most practical approach seems to be to adopt the original cytogenetic part of the IPSS-R for further score development since clinicians do not need to use different scoring systems for different MDS subtypes.
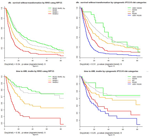
While the final analyses for the development of a tMDS specific risk score are currently under way, extensive calculations regarding the performance of different scores like WHO- (Dxy 0.24), FAB-classification (Dxy 0.19), WPSS-R (Dxy 0.35), IPSS-R (Dxy 0.37), and IPSS-R+age (Dxy 0.36), show all these systems can separate different risk groups within our cohort. However, these results also show an inferior performance of the scoring systems in t compared to pMDS. There are multiple possible reasons for this. The most important seem to be tMDS patients are often not cured from the primary disease and its disease specific risk of death should ideally be considered. Unfortunately, we don't have that data. And second, we included treated as well as untreated patients. It seems not to be feasible otherwise since the selection bias for old unfit patients would be unacceptable. We could show already in pMDS that the score performances are considerably worse if we analyze treated patients and the score performance in our cohort is better if limited to untreated patients.
To conclude, we can say existing classification and scoring systems work in tMDS and can separate groups with clearly different risk for death and transformation. Although we could not develop a tMDS specific cytogenetic score this could be seen positively since it underlines tMDS do not seem to be much different regarding disease specific risk. This should initiate a discussion of a revision of the WHO-classification and encourage clinicians to use the existing tools for risk assessment and treatment decisions. A simple solution could be to use the WHO classification for pMDS and precede each subgroup with a t, like tMDS-SLD, and so on. Such an approach would be of importance for patients falsely classified as tMDS. After all this classification is done according to anamnestic information only and sporadic cases cannot be excluded.
Until now, in the first analyzes performed with the final tMDS-database, we did not find any indication that risk factors established in pMDS would lose or change their meaning in tMDS.
Komrokji:Celgene: Honoraria, Research Funding; Celgene: Honoraria, Research Funding; Novartis: Honoraria, Speakers Bureau; Novartis: Honoraria, Speakers Bureau; Novartis: Honoraria, Speakers Bureau; Novartis: Honoraria, Speakers Bureau. Sekeres:Celgene: Membership on an entity's Board of Directors or advisory committees; Opsona: Membership on an entity's Board of Directors or advisory committees; Celgene: Membership on an entity's Board of Directors or advisory committees; Opsona: Membership on an entity's Board of Directors or advisory committees. List:Celgene: Research Funding. Roboz:Orsenix: Consultancy; Eisai: Consultancy; Novartis: Consultancy; Celltrion: Consultancy; Astex Pharmaceuticals: Consultancy; Argenx: Consultancy; Janssen Pharmaceuticals: Consultancy; Jazz Pharmaceuticals: Consultancy; Argenx: Consultancy; Janssen Pharmaceuticals: Consultancy; Pfizer: Consultancy; Cellectis: Research Funding; Daiichi Sankyo: Consultancy; Sandoz: Consultancy; Otsuka: Consultancy; Daiichi Sankyo: Consultancy; Eisai: Consultancy; Pfizer: Consultancy; Roche/Genentech: Consultancy; Novartis: Consultancy; Celltrion: Consultancy; Celgene Corporation: Consultancy; Cellectis: Research Funding; Orsenix: Consultancy; Aphivena Therapeutics: Consultancy; Otsuka: Consultancy; Jazz Pharmaceuticals: Consultancy; Sandoz: Consultancy; Roche/Genentech: Consultancy; Aphivena Therapeutics: Consultancy; AbbVie: Consultancy; Bayer: Consultancy; Bayer: Consultancy; Astex Pharmaceuticals: Consultancy; Celgene Corporation: Consultancy; AbbVie: Consultancy. Döhner:Jazz: Consultancy, Honoraria; Astex Pharmaceuticals: Consultancy, Honoraria; Agios: Consultancy, Honoraria; Janssen: Consultancy, Honoraria; AROG Pharmaceuticals: Research Funding; Novartis: Consultancy, Honoraria, Research Funding; Janssen: Consultancy, Honoraria; Seattle Genetics: Consultancy, Honoraria; Seattle Genetics: Consultancy, Honoraria; Celgene: Consultancy, Honoraria, Research Funding; Astex Pharmaceuticals: Consultancy, Honoraria; AROG Pharmaceuticals: Research Funding; Pfizer: Research Funding; Sunesis: Consultancy, Honoraria, Research Funding; Celator: Consultancy, Honoraria; Agios: Consultancy, Honoraria; Celator: Consultancy, Honoraria; Astellas: Consultancy, Honoraria; Bristol Myers Squibb: Research Funding; Astellas: Consultancy, Honoraria; Bristol Myers Squibb: Research Funding; Amgen: Consultancy, Honoraria; Amgen: Consultancy, Honoraria; Pfizer: Research Funding; Novartis: Consultancy, Honoraria, Research Funding; AbbVie: Consultancy, Honoraria; Sunesis: Consultancy, Honoraria, Research Funding; Celgene: Consultancy, Honoraria, Research Funding; Jazz: Consultancy, Honoraria; AbbVie: Consultancy, Honoraria. Valent:Pfizer: Honoraria; Novartis: Honoraria; Incyte: Honoraria. Platzbecker:Celgene: Research Funding. Lübbert:TEVA: Other: Study drug; Celgene: Other: Travel Support; Cheplapharm: Other: Study drug; Janssen: Honoraria, Research Funding. Díez-Campelo:Novartis: Consultancy, Honoraria, Membership on an entity's Board of Directors or advisory committees, Research Funding, Speakers Bureau; Celgene: Consultancy, Honoraria, Membership on an entity's Board of Directors or advisory committees, Research Funding, Speakers Bureau. Stauder:Celgene: Honoraria, Membership on an entity's Board of Directors or advisory committees; Novartis: Honoraria, Membership on an entity's Board of Directors or advisory committees; Teva: Research Funding. Germing:Janssen: Honoraria; Novartis: Honoraria, Research Funding; Celgene: Honoraria, Research Funding.
Author notes
Asterisk with author names denotes non-ASH members.

This feature is available to Subscribers Only
Sign In or Create an Account Close Modal